随着量子计算的快速发展,能耗问题逐渐成为制约其进一步突破的关键瓶颈。近日,厦门大学贺达海教授团队在物理学顶级期刊Physical Review Letters上发表了一项关于量子计算能耗的最新研究成果。该研究提出了计算量子比特重置最小能耗和最优协议的一般理论框架。通过将环境分类,这一研究揭示了在不同环境下量子比特重置的显著差异,并聚焦于短时极限下的性质,为高效量子计算提供了新的理论指引。

量子科技与量子计算正经历爆发式发展,但随之而来的能耗问题日益严峻。据预测,未来十年全球数据中心的能耗将占全球电力消耗的20%,而量子计算系统的大规模部署可能使这一问题更加突出。量子比特重置(qubit reset)是量子计算中的基础操作,需要将量子比特从任意混合态(布洛赫球内部)精确“清零”至纯态(球表面),这一过程也被称为信息擦除(图1)。重置一个量子比特将产生多大能耗呢?根据Landauer原理,该信息擦除过程的能耗下限为kTln2(k为玻尔兹曼常数,T为环境温度)。然而,现实中的能耗往往高出理论下限数个数量级。这是因为Landauer原理对应的准静态理想条件在真实量子运算中难以实现,实际应用中需要同时满足高速、高精度的操作需求。这种能耗与速度和精度之间的矛盾,严重制约了量子计算的能效与可扩展性。
为了突破这一瓶颈,近年来人们针对有限时间的量子比特重置开展了大量研究。一方面,研究者们通过普适的热力学不等式得到了信息擦除的能耗下界。另一方面,人们也投入了大量精力研究特定环境下的有限时间最低能耗和对应的最优协议(protocol),主要集中在长时极限区域。然而,实际中的重置操作要求极高的速度和精度(比如在300纳秒内达到99%的精度),这就要求从理论角度对短时极限下的擦除过程有更深层次的理解。

图1 在布洛赫球上表示信息擦除过程。(a)任意初态使用最优协议重置到纯态。(b)最大混合态使用最优协议重置到z方向基态。
研究团队提出了一般性理论框架,用于确认任意环境和任意速度下信息擦除的最小能耗以及对应的最优协议,并揭示了环境类型对能耗的关键影响。研究团队根据环境跃迁率的敛散性将环境划分为两类:收敛类和发散类。
•收敛类:给定精度(时间),存在最小所需时间(最大精度),即使投入无限能量也无法突破该时间(精度)限制;
•发散类:可以通过能量投入实现任意快速的量子比特重置。

图2 (a)以费米热库为例的收敛类环境和(b)以s=1的玻色类热库为代表的发散类环境中的最小热耗散关于错误率和擦除时间的等高线图。可以看到收敛类环境中存在最大精度(或最小擦除时间),而发散类环境中不存在该限制。
该研究重点讨论了实际中所关心的快速驱动(短时)极限下,最优量子比特重置所满足的规律。研究发现,环境类型主导能耗特征——收敛类在接近最小时间时呈现对数发散,而发散类在时间趋零时展现标度发散。更具实际价值的是,研究发现不同时长的最优控制协议存在一种近乎普适的“相似”特征:对于不同持续时间的重置过程,最优协议可以通过简单的变量变换相互映射。这为复杂优化计算提供了重要简化路径,为实际量子器件设计提供了关键理论工具。研究团队选取了典型的量子环境——费米热库(收敛类环境)和玻色热库(谱指数s=0时为收敛类环境,s>0时为发散类环境)——作为实例分析,阐述了一般理论性框架得出的结论。

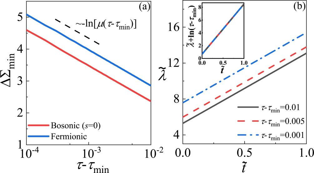
图3 在收敛类环境中,(a)熵产生随擦除时间的变化, 满足对数发散。(b)不同擦除时间下的最优协议,其中插图表明这些最优协议的相似性。

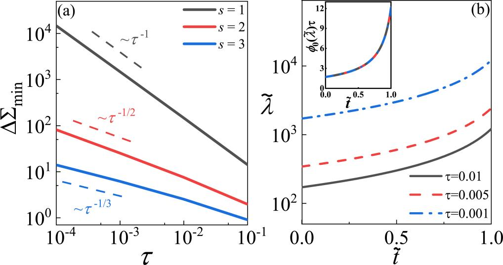
图4 在发散类环境中,(a)熵产生随擦除时间的变化, 满足幂律发散。(b)不同擦除时间下的最优协议,其中插图表明这些最优协议的相似性。
有趣的是,研究表明玻色热库在量子比特重置中比费米热库更具优势。这种差异源于热库的量子统计效应:玻色子允许多粒子占据同一能级,创造更多能量传输通道;而费米子受泡利不相容原理限制,费米热库的能量传输通道受限。特别值得注意的是,在短时极限下的量子操作中,超欧姆(super-Ohmic)玻色热库表现出了突破性优势:当重置时间趋于零时,能耗-时间代价趋于零。这为超高效量子比特重置提供了一个令人兴奋的理论可能。
这项研究不仅深化了对非平衡量子过程的理解,也为未来量子器件的工程实现提供了理论工具。该理论框架可以应用于其他快速量子信息处理过程的优化,如量子门操作和量子Szilard热机等。相关研究成果以“Optimally fast qubit reset”为题,发表在Physical Review Letter上。课题组博士后刘越和博士生黄晨龙为论文共同第一作者,贺达海教授为论文通讯作者,博士后张星宇亦对论文研究做出了重要贡献。该研究得到了国家自然科学基金面上项目、理论物理专款、福建省自然科学基金和江西省自然科学基金的资助。
论文链接:https://journals.aps.org/prl/abstract/10.1103/PhysRevLett.134.100401
(物理科学与技术学院)